Нещодавно Державна архітектурно-будівельна інспекція України вчетверте відмовила житомирському ТРЦ «Глобал UA» у видачі дозволу на початок будівництва спортивного комплексу з басейнами.
Про це Житомир.info повідомив генеральний директор ТРЦ «Глобал UA» Микола Бірюченко.
«Щоразу в них знаходяться нові формальні підстави для відмови. Кому і навіщо потрібно відмовляти у будівництві об’єкту, який дасть Житомиру реальні приватні інвестиції, додаткові податки, більше 150 робочих місць, а найголовніше – сприятиме здоровому способу життя, розвитку спорту?», - задається питанням Бірюченко.
Неодноразово анонсоване довгоочікуване житомирянами будівництво басейнів у Житомирі заблоковане.
За словами Миколи Бірюченка, державна архітектурно-будівельна інспекція двічі відмовляла торгово-розважальному центру наприкінці минулого року і вже два рази у цьому році.
ХРОНІКА ПОДІЙ
14.09.2012 р. Затверджена концепція будівництва, анонсування проекту
25.02.2013 р. – 02.10.2013 р. Експертиза проекту
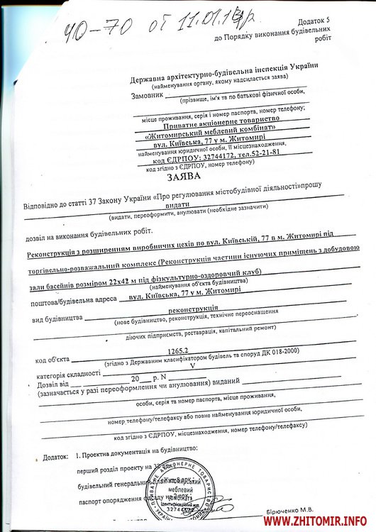
12.11.2013 р. Відмова у видачі дозволу на виконання будівельних робіт

17.12.2013 р. Відмова у видачі дозволу на виконання будівельних робіт



14.01.2014 р. Відмова у видачі дозволу на виконання будівельних робіт




11.02.2014 р. Відмова у видачі дозволу на виконання будівельних робіт

Нагадаємо, керівництво ТРЦ «Глобал UA» разом з віце-президентом мережі фітнес клубів Sport Life Віталієм Левицьким збирається побудувати спортивний комплекс з двома басейнами, дитячим клубом, великим тренажерним залом, студіями для спортивних занять та командних ігор, фітнес-зоною, банею, сауною, масажним кабінетом, солярієм та лаунж-баром. Відкриття цього закладу на території ТРЦ «Глобал UA» планувалося в 2014 році.




















