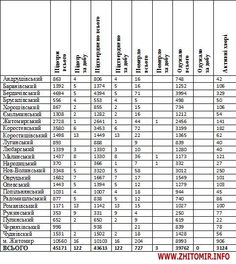
Станом на 09:00 год. 25 січня 2021 року в Житомирській області лабораторно підтвердили 43613 випадків коронавірусної хвороби. Зокрема, за минулу добу, 24 січня, зареєстрували 122 нові випадки. За період пандемії від ускладнень COVID-19 померли 727 пацієнтів, у тому числі минулої доби зафіксували три летальні випадки. Одужало загалом 39762 особи.
Про це повідомляє пресслужба Житомирської облдержадміністрації з посиланням на інформацію директора ДУ «Житомирський обласний лабораторний центр» Зіновія Парамонова.
Всього випадків (з наростаючим підсумком) – 43613
Померло (всього) – 727
Всього одужало – 39762
Активні хворі – 3124
Всього проведено ПЛР-тестувань за добу – 339
Комунальне некомерційне підприємство «Обласний центр громадського здоров’я» Житомирської обласної ради надає інформацію станом на 24 січня щодо заповненості ліжок у закладах охорони здоров’я області, визначених для госпіталізації пацієнтів з підтвердженим діагнозом COVID-19:
у лікарнях, які внесені до переліку закладів охорони здоров`я, що визначені для госпіталізації пацієнтів з гострою респіраторною хворобою COVID-19, спричиненою коронавірусом SARS-CoV-2, – всього 2525 ліжок, забезпечено ліжок киснем — 2153, визначених для госпіталізації пацієнтів з підтвердженим випадком COVID-19, з яких зайнято 416 хворими на COVID-19 та 142 – пацієнтами з підозрою на COVID-19 (20,77% від загальної кількості ліжок);
кількість ліжок у лікарнях резерву – всього 161 ліжко, визначене для госпіталізації пацієнтів з підтвердженим випадком COVID-19, забезпечено ліжок киснем — 114, з яких 0 зайнято хворим на COVID-19 та 0 – пацієнтами з підозрою на COVID-19.

Інфографіка з сайту ОДА
В ОДА з посиланням на дані обласного лабораторного центру надали інформацію про три нові летальні випадки, зафіксовані минулої доби.
Так, від ускладнень, викликаних коронавірусною хворобою, померли:
79-річна жителька міста Малин;
71-річний житель Житомирського району;
60-річний житель Народицького району.
Загалом на Житомирщині зареєстровано 727 летальних випадків від COVID-19 у:
- Андрушівському районі – 16;
- Баранівському районі – 16;
- Бердичівському районі – 71;
- Брусилівському районі – 5;
- Ємільчинському районі – 16;
- Житомирському районі – 44;
- Коростенському районі – 72;
- Коростишівському районі – 22;
- Лугинському районі — 9;
- Любарському районі – 10;
- Малинському районі – 36;
- Народицькому районі – 7;
- Новоград-Волинському районі – 58;
- Овруцькому районі – 17;
- Олевському районі – 12;
- Попільнянському районі – 18;
- Радомишльському районі – 12;
- Романівському районі – 15;
- Ружинському районі – 4;
- Пулинському районі – 9;
- Хорошівському районі – 15;
- Черняхівському районі – 21;
- Чуднівському районі – 18;
- м. Житомирі – 204.
Як повідомляв Житомир.info, за добу 23 січня 2021 року в Житомирській області лабораторно підтвердили 164 летальні випадки коронавірусної хвороби, чотири пацієнти померли від ускладнень.




















