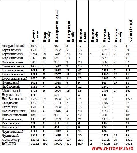
Станом на 09:00 год. 26 лютого 2021 року в Житомирській області лабораторно підтвердили 50076 випадків коронавірусної хвороби. За минулу добу, 25 лютого, було зареєстровано 455 нових випадків COVID-19. За період пандемії від ускладнень хвороби померли 827 пацієнтів, у тому числі минулої доби зафіксували 2 летальні випадки. Одужало загалом 44228 осіб.
Про це повідомляє пресслужба Житомирської облдержадміністрації з посиланням на інформацію заступника директора ДУ «Житомирський обласний лабораторний центр» Юрія Лутая.
Всього випадків (з наростаючим підсумком) – 50076
Померло (всього) – 827
Всього одужало – 44228
Активні хворі – 5021
Всього проведено ПЛР-тестувань за добу –1015
Комунальне некомерційне підприємство «Обласний центр громадського здоров’я» Житомирської обласної ради надає інформацію станом на 25 лютого щодо заповненості ліжок у закладах охорони здоров’я області, визначених для госпіталізації пацієнтів з підтвердженим діагнозом COVID-19:
у лікарнях, які внесені до переліку закладів охорони здоров`я, що визначені для госпіталізації пацієнтів з гострою респіраторною хворобою COVID-19, спричиненою коронавірусом SARS-CoV-2, – всього 2540 ліжок, забезпечено ліжок киснем — 2260, визначених для госпіталізації пацієнтів з підтвердженим випадком COVID-19, з яких зайнято 704 хворими на COVID-19 та 181 – пацієнтами з підозрою на COVID-19 (32,04% від загальної кількості ліжок);
кількість ліжок у лікарнях резерву – всього 161 ліжко, визначене для госпіталізації пацієнтів з підтвердженим випадком COVID-19, забезпечено ліжок киснем — 114, з яких 0 зайнято хворим на COVID-19 та 0 – пацієнтами з підозрою на COVID-19.

Інфографіка з сайту ОДА
В ОДА з посиланням на дані обласного лабораторного центру надали інформацію про два нові летальні випадки, зафіксовані минулої доби.
Так, від ускладнень, викликаних коронавірусною хворобою, померли:
73-річний житель міста Житомир;
68-річний житель міста Бердичів.
За даними Міністра охорони здоров’я Максима Степанова, станом на 26 лютого 2021 року (за добу 25 лютого) в Україні зафіксовано 8 003 нових випадків коронавірусної хвороби COVID-19. Зокрема, захворіли 475 дітей та 312 медпрацівників.
Також за минулу добу
госпіталізовано – 2 762 осіб;
летальних випадків – 146;
одужало – 4 244 осіб;
здійснено тестувань за добу – 78 264 (зокрема методом ПЛР – 36 809, методом ІФА – 16 271, досліджень експрес-тестами на антиген до SARS-CoV-2 – 25 184).
За весь час пандемії в Україні
захворіло – 1 333 844 особи;
одужало – 1 163 555 осіб;
летальних випадків – 25 742;
проведено ПЛР-тестувань – 6 845 974.
За останню добу найбільша кількість підтверджених випадків зареєстрована в Івано-Франківській (857), м. Київ (748), Вінницькій (738), Чернівецькій (638), Київській (548) та Закарпатській (515) областях.
Кількість захворювань в регіонах за добу:
м. Київ – 748 випадків;
Вінницька область – 738 випадків;
Волинська область – 219 випадків;
Дніпропетровська область – 421 випадок;
Донецька область – 136 випадків;
Житомирська область – 455 випадків;
Закарпатська область – 515 випадків;
Запорізька область – 120 випадків;
Івано-Франківська область – 857 випадків;
Київська область – 548 випадків;
Кіровоградська область – 43 випадки;
Луганська область – 31 випадок;
Львівська область – 474 випадки;
Миколаївська область – 150 випадків;
Одеська область – 319 випадків;
Полтавська область – 111 випадків;
Рівненська область – 133 випадки;
Сумська область – 160 випадків;
Тернопільська область – 305 випадків;
Харківська область – 331 випадок;
Херсонська область – 32 випадки;
Хмельницька область – 262 випадки;
Черкаська область – 127 випадків;
Чернівецька область – 638 випадків;
Чернігівська область – 130 випадків.
Як повідомляв Житомир.info, за добу 24 лютого 2021 року в Житомирській області лабораторно підтвердили 717 випадків коронавірусної хвороби – найбільше по Україні, померло в області 5 пацієнтів.




















