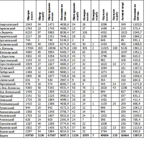
Станом на 09:00 год. 25 березня 2021 року в Житомирській області лабораторно підтвердили 67367 випадків коронавірусної хвороби. За минулу добу, 24 березня, було зареєстровано 1136 нових інфікувань COVID-19. За період пандемії від ускладнень хвороби померло 1099 пацієнтів. Одужало загалом 49604 особи.
Про це повідомляє пресслужба Житомирської облдержадміністрації з посиланням на інформацію заступника директора ДУ «Житомирський обласний лабораторний центр» Юрія Лутая.
Всього випадків (з наростаючим підсумком) – 67367
Померло (всього) – 1099
Всього одужало – 49604
Активні хворі – 16664
Всього проведено ПЛР-тестувань за добу – 2175
Комунальне некомерційне підприємство «Обласний центр громадського здоров’я» Житомирської обласної ради надає інформацію станом на 24 березня щодо заповненості ліжок у закладах охорони здоров’я області, визначених для госпіталізації пацієнтів із підтвердженим діагнозом COVID-19:
у лікарнях, які внесені до переліку закладів охорони здоров`я, що визначені для госпіталізації пацієнтів з гострою респіраторною хворобою COVID-19, спричиненою коронавірусом SARS-CoV-2: всього ліжок – 2809, забезпечено ліжок киснем — 2441, з яких 1620 зайнято хворими на COVID-19 та 250 – пацієнтами з підозрою на COVID-19 (65,42% від загальної кількості ліжок);
у лікарнях резерву: всього ліжко – 161, забезпечено ліжок киснем — 114, з яких 2 зайнято хворим на COVID-19 та 0 – пацієнтами з підозрою на COVID-19.

Інфографіка ОДА
За інформацією обласного лабораторного центру, за добу в області зареєстрували 7 летальних випадків, спричинених COVID-19.
Так, від ускладнень, викликаних коронавірусною хворобою, померли:
- 71-річний житель Ємільчинського району;
- 81-річний житель Новоград-Волинського району;
- 80-річний житель Попільнянського району;
- 81-річна жителька Романівського району;
- двоє жителів міста Житомир – жінка віком 66 років та 57-річний чоловік;
- 43-річна жителька міста Новоград-Волинський.

За даними міністра охорони здоров’я Максима Степанова, Житомирська область увійшла до п’ятірки регіонів з найбільшою кількістю нових випадків коронавірусу.
«За останню добу найбільша кількість підтверджених випадків зареєстрована у м. Київ (1 267), Одеській (1 235), Житомирській (1 136), Львівській (1 032) та Хмельницькій (989) областях», – йдеться у повідомленні.
Загалом станом на 25 березня 2021 року в Україні зафіксовано 16 669 нових випадків коронавірусної хвороби COVID-19. Зокрема, захворіли 786 дітей та 446 медпрацівників.
Також за минулу добу
госпіталізовано – 4 838 осіб;
летальних випадків – 362;
одужало – 6 748 осіб;
здійснено тестувань за добу – 128 615 (зокрема методом ПЛР – 57 818, методом ІФА – 22 950, досліджень експрес-тестами на антиген до SARS-CoV-2 – 47 847).
За весь час пандемії в Україні
захворіло – 1 596 575 осіб;
одужало – 1 283 020 осіб;
летальних випадків – 31 135;
проведено ПЛР-тестувань – 7 836 049.
Як повідомляв Житомир.info, за добу 23 березня 2021 року в Житомирській області лабораторно підтвердили 453 випадки коронавірусної хвороби, померли 17 людей.




















